
傳真:
18923864027
QQ:
709211280
地址:
深圳市福田區振中路84號愛華科研樓7層
烜芯微教你正確選擇MOS管重要的一個環節,MOS管選擇不好就可能影響到整個電路的功率使用,會造成雪崩等原因,了解不同的MOS管部件的細微差
場效應管分類場效應管分結型、絕緣柵型兩大類。結型場效應管(JFET)因有兩個PN結而得名,絕緣柵型場效應管(JGFET)則因柵極與其它電極完
小信號等效電路模仿電路解析包括直流解析和交流小信號解析。這里導入小信號解析時所需要的小信號等效電路。小信號等效電路模型是使計算簡單
柵極接地放大電路如表3 1所示,所謂柵極接地放大電路,就是在柵極固定為一定電位的狀態下,輸入信號加到源極上,從漏極取出輸出信號的電路
柵極驅動的優化以下幾種簡單的技術措施能夠有效進步電路的開關速度,這就是柵極驅動的優化(圖5 80)。通常狀況下,為了進步電源的應用率
CMOS反相器的特性反相器的意思就是反轉,是將輸入的信號電平反轉輸出的電路。圖10 5是將MOS晶體管置換為開關的反相器電路。就是說p溝 n溝MO
基于CMOS的普通的AB級輸出電路圖9 24示出一例用CMOS構成AB級輸出電路的辦法。輸出晶體管M,和Mz兩個柵極間并聯銜接著n溝MOS晶體管M3和p溝MOS
輸入阻抗高由于柵氧化膜與硅襯底絕緣,所以CMOS的輸入具有十分高的輸入阻抗。實踐的CMOS器件中,輸入級裝備有維護電路(維護二極管或維護MO
MOS管工作原理MOS管定義MOS管學名是場效應管,是金屬-氧化物-半導體型場效應管,屬于絕緣柵型。其結構示意圖:結構示意圖解析1)溝道上面圖
詳解,N溝道MOS管和P溝道MOS管先講講MOS CMOS集成電路MOS集成電路特點:制造工藝比較簡單、成品率較高、功耗低、組成的邏輯電路比較簡單,
輸入維護電路當器件加有過大的電壓或電流時,器件會遭到損傷而導致性能劣化,嚴重時會被擊穿。這時芯片上的布線或器件的分離局部將會被毀壞
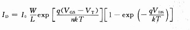
漏極電流與VGS呈指數關系至此,所考慮的MOS晶體管的工作,都是柵極—源極間電壓VGS比閾值電壓VT大時的狀況。當VGS比VT大很多時,在柵氧化膜